Scientific
Links
Contact us
电话:86-027-87543228
邮编:430074
地址:湖北省·武汉市 珞瑜路1037号 华中科技大学电气大楼A座
2021年8月4日,中国等离子体期刊《Plasma Science and Technology》将华中科技大学聚变所J-TEXT团队的学生王昭苏的文章《Application of 3D MHD equilibrium calculation to RMP experiments in the J-TEXT tokamak》选为Highlight文章;同时录制了视频介绍聚变所团队,让聚变业内的学生与老师更深入了解J-TEXT团队。
王昭苏的这篇文章主要将HINT2三维平衡反演程序引入J-TEXT等离子体中。随着托卡马克装置不断发展,研究对象从原来的二维对象逐渐转向三维。一个更接近真实的三维平衡,是后续开展各种研究的基础。而本文依据J-TEXT装置开展了三维平衡反演,将为后续研究三维物理问题提供重要的基础。
在托卡马克中,EFIT是最广泛的基于G-S方程的二维平衡重构程序,但随着研究的深入,三维磁扰动成为抑制不稳定性、缓解破裂的关键。目前J-TEXT装置上已装备了共振磁扰动(RMP)系统;未来基于本项目,也将建成磁岛偏滤器系统与提供外加旋转变换的三维磁场系统。因此,在J-TEXT上引入三维平衡重构是必要的。
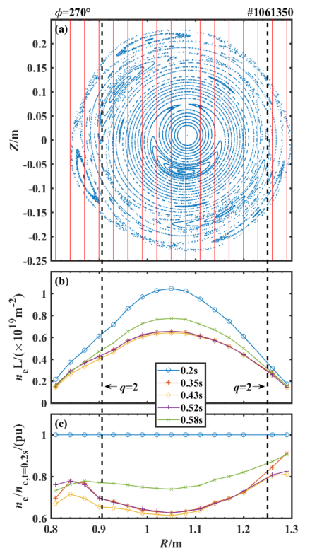
HINT2基于弛豫迭代的方法求解无磁面假设的三维平衡,已在LHD、W7-X、DIII-D上广泛应用。目前在J-TEXT上,利用HINT2首次完成了RMP作用下等离子体的三维平衡研究,并分别与偏振仪(图1)、ECE(图2)诊断对照,证明了HINT2的准确性。



图2(a)Z=0处庞加莱图; (b)不同时刻,电子温度相对变化量随大半径变化; (c)电子温度相对变化量随时间演化的等高线图;黑线为投入RMP线圈电流
论文链接:
Application of 3D MHD equilibrium calculation to RMP experiments in the J-TEXT tokamak
Application of 3D MHD equilibrium calculation to RMP experiments in the J-TEXT tokamak (hfcas.ac.cn)
期刊介绍:
《等离子体科学和技术(英文版)》(月刊)(Plasma Science & Technology )创刊于1999年,是由中国科学院等离子体物理研究所主办的英文版学术期刊,被美国科学引文索引 (SCI)。在主编与审稿人的不断精益求精之下,近些年的影响因子不断提高,文章质量也越来越好!